Eat Study Love

먹고 공부하고 사랑하라

Python 198

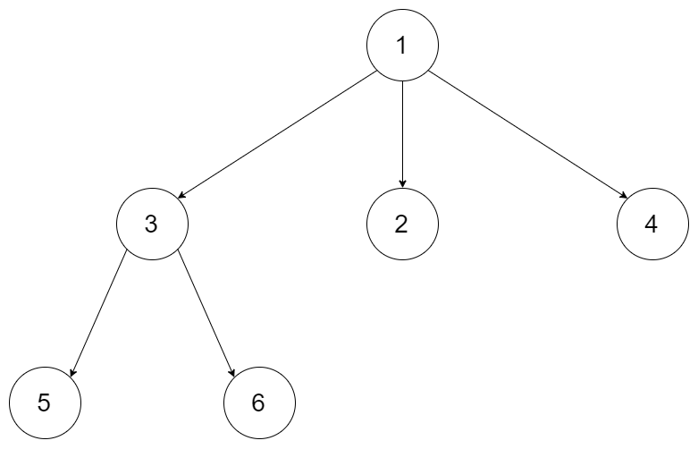
Maximum Depth of N-ary Tree[Tree,Depth-First Search,Breadth-First Search]

https://leetcode.com/problems/maximum-depth-of-n-ary-tree/description/?envType=problem-list-v2&envId=treeGiven a n-ary tree, find its maximum depth.The maximum depth is the number of nodes along the longest path from the root node down to the farthest leaf node.Nary-Tree input serialization is represented in their level order traversal, each group of children is separated by the null value (See ..

Coding_Practice 2024.10.29

Is Graph Bipartite?[Depth-First Search,Breadth-First Search,Union Find,Graph]

https://leetcode.com/problems/is-graph-bipartite/description/?envType=problem-list-v2&envId=graphThere is an undirected graph with n nodes, where each node is numbered between 0 and n - 1. You are given a 2D array graph, where graph[u] is an array of nodes that node u is adjacent to. More formally, for each v in graph[u], there is an undirected edge between node u and node v. The graph has the f..

Coding_Practice 2024.10.28

Find if Path Exists in Graph[Depth-First Search,Breadth-First Search,Union Find,Graph]

https://leetcode.com/problems/find-if-path-exists-in-graph/description/?envType=problem-list-v2&envId=graphThere is a bi-directional graph with n vertices, where each vertex is labeled from 0 to n - 1 (inclusive). The edges in the graph are represented as a 2D integer array edges, where each edges[i] = [ui, vi] denotes a bi-directional edge between vertex ui and vertex vi. Every vertex pair is c..

Coding_Practice 2024.10.28

Deque 자료구조 만들어보기

https://leetcode.com/problems/design-circular-deque/사실 예전에 풀었던 문제인데, 다행히(?) 인간은 망각의 동물인지라 초면 인 것 마냥 풀었다. deque 구조의 delete / insert 등등의 method를 한번 구현해 보는 것이 골자! Design your implementation of the circular double-ended queue (deque).Implement the MyCircularDeque class:MyCircularDeque(int k) Initializes the deque with a maximum size of k.boolean insertFront() Adds an item at the front of Deque. Retu..

Coding_Practice 2024.10.27

My Calendar II[Array,Binary Search,Design,Segment Tree,Prefix Sum,Ordered Set]

https://leetcode.com/problems/my-calendar-ii/description/You are implementing a program to use as your calendar. We can add a new event if adding the event will not cause a triple booking.A triple booking happens when three events have some non-empty intersection (i.e., some moment is common to all the three events.).The event can be represented as a pair of integers start and end that represent..

Coding_Practice 2024.10.24

Search a 2D Matrix II[M,Array,Binary Search,Divide and Conquer,Matrix]

https://leetcode.com/problems/search-a-2d-matrix-ii/description/Write an efficient algorithm that searches for a value target in an m x n integer matrix matrix. This matrix has the following properties:Integers in each row are sorted in ascending from left to right.Integers in each column are sorted in ascending from top to bottom. Example 1:Input: matrix = [[1,4,7,11,15],[2,5,8,12,19],[3,6,9,16..

Coding_Practice 2024.10.16

MinMaxDivision(Divide array A into K blocks and minimize the largest sum of any block)

https://app.codility.com/programmers/lessons/14-binary_search_algorithm/min_max_division/ MinMaxDivision coding task - Learn to Code - CodilityDivide array A into K blocks and minimize the largest sum of any block.app.codility.comYou are given integers K, M and a non-empty array A consisting of N integers. Every element of the array is not greater than M.You should divide this array into K block..

Coding_Practice 2024.10.16