Eat Study Love

먹고 공부하고 사랑하라

Programming 56

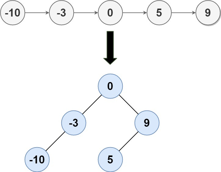
Convert Sorted List to Binary Search Tree(Linked List,Divide and Conquer,Tree,Binary Search Tree,Binary Tree)

https://leetcode.com/problems/convert-sorted-list-to-binary-search-tree/description/Given the head of a singly linked list where elements are sorted in ascending order, convert it to a height-balanced binary search tree. Example 1:Input: head = [-10,-3,0,5,9]Output: [0,-3,9,-10,null,5]Explanation: One possible answer is [0,-3,9,-10,null,5], which represents the shown height balanced BST.Example ..

Coding_Practice 2025.02.17

SSSP(Single Source Shortest Path) / APSP(All-Pairs Shortest Path) 실습

Algorithm의 대명사인 Shortest Path와 관련된 실습이다.SSSP / APSP를 구현해보는 실습을 할 것이다. 대표적으로 FloydWarshall과 BellmanFord 알고리즘을 확인해보자. 실습자료는 위와 같다.#include #include #include #include // 아래 header는 내가 추가#include using namespace std;/*//////////////////////// Description ////////////////////////////There are n cities in a logistics network, numbered from 0 to n−1. The edges array represents the logistics routes bet..

Type Casting & Exception Handling + OOP 실습

C++을 이용해서 Type Casting 과 Exception Handling을 해보겠다. Type Casting이란 특정 Variable을 다른 data type으로 변화시키는 것이며 종류로는 1. C-style Casting2. Static cast3. Dynamic cast4. Const cast5. Reinterpret cast 이렇게 다섯가지 정도를 알아보자.Elec* elec = new pikachu();Fire* char = (Fire*)elec;// Compile error는 없지만 ERROR static_cast 으로 compile time에 casting을 걸어버려서 깔끔하다.  Exception Handling은 Try - Catch 구문이다.일단 try 안쪽에 있는 구문을 실행해보고..

Permutations(Array,Backtracking)

Given an array nums of distinct integers, return all the possible permutations. You can return the answer in any order. Example 1:Input: nums = [1,2,3]Output: [[1,2,3],[1,3,2],[2,1,3],[2,3,1],[3,1,2],[3,2,1]]Example 2:Input: nums = [0,1]Output: [[0,1],[1,0]]Example 3:Input: nums = [1]Output: [[1]] Constraints:1 -10 All the integers of nums are unique.뭔가 기본적인 컨셉의 문제인데, 이게 또 한 번쯤은 집고 넘어가줘야 찝찝한게 없다..

Coding_Practice 2025.02.10

Maximum Employees to Be Invited to a Meeting(Depth-First Search,Graph,Topological Sort)

https://leetcode.com/problems/maximum-employees-to-be-invited-to-a-meeting/description/?envType=daily-question&envId=2025-01-26A company is organizing a meeting and has a list of n employees, waiting to be invited. They have arranged for a large circular table, capable of seating any number of employees.The employees are numbered from 0 to n - 1. Each employee has a favorite person and they will..

Coding_Practice 2025.01.26

Make Lexicographically Smallest Array by Swapping Elements(Array,Union Find,Sorting)

https://leetcode.com/problems/make-lexicographically-smallest-array-by-swapping-elements/description/?envType=daily-question&envId=2025-01-25You are given a 0-indexed array of positive integers nums and a positive integer limit.In one operation, you can choose any two indices i and j and swap nums[i] and nums[j] if |nums[i] - nums[j]| Return the lexicographically smallest array that can be obtai..

Coding_Practice 2025.01.25

First Completely Painted Row or Column(Array,Hash Table,Matrix)

https://leetcode.com/problems/first-completely-painted-row-or-column/description/?envType=daily-question&envId=2025-01-20You are given a 0-indexed integer array arr, and an m x n integer matrix mat. arr and mat both contain all the integers in the range [1, m * n].Go through each index i in arr starting from index 0 and paint the cell in mat containing the integer arr[i].Return the smallest inde..

Coding_Practice 2025.01.20

Trapping Rain Water II(Array,Breadth-First Search,Heap (Priority Queue),Matrix)

https://leetcode.com/problems/trapping-rain-water-ii/?envType=daily-question&envId=2025-01-19 Given an m x n integer matrix heightMap representing the height of each unit cell in a 2D elevation map, return the volume of water it can trap after raining. Example 1:Input: heightMap = [[1,4,3,1,3,2],[3,2,1,3,2,4],[2,3,3,2,3,1]]Output: 4Explanation: After the rain, water is trapped between the blocks..

Coding_Practice 2025.01.19