Eat Study Love

먹고 공부하고 사랑하라

Coding_Practice 178

Google Colab에 Google Drive 연결하기

Jupyter notebook으로 Python code를 짜는 작업을 할 때, Python Module 들을 Local에 일일히 다 저장하면 은근히 용량도 많이 차지하고, 그것보다 문제인건 가끔 Module 간 Version 차이가 발생해 Module Import 시 Error가 발생한다. 소이 뻑이간 상태인데, 이게 한 두 건이면 그냥 무시하고 쓰는데 머신러닝 세계에선 Import 해야하는 Module이 생각보다 많다. 그래서 그냥 Google Colab으로 코드를 짜기도 한다. 대신, Google Colab은 기본적으로 Temporary 한 VM환경이기 때문에 Colab 세션을 껐다 킬 때는 설치했던 Package들이 모두 사라진다. 그리하여, 기본적으로 CELL 안에 pip install같은 코드를..

Coding_Practice 2025.04.09

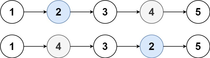
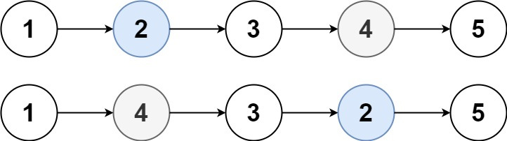
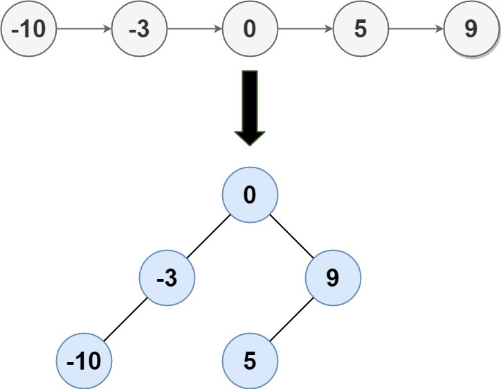
Convert Sorted List to Binary Search Tree(Linked List,Divide and Conquer,Tree,Binary Search Tree,Binary Tree)

https://leetcode.com/problems/convert-sorted-list-to-binary-search-tree/description/Given the head of a singly linked list where elements are sorted in ascending order, convert it to a height-balanced binary search tree. Example 1:Input: head = [-10,-3,0,5,9]Output: [0,-3,9,-10,null,5]Explanation: One possible answer is [0,-3,9,-10,null,5], which represents the shown height balanced BST.Example ..

Coding_Practice 2025.02.17

Permutations(Array,Backtracking)

Given an array nums of distinct integers, return all the possible permutations. You can return the answer in any order. Example 1:Input: nums = [1,2,3]Output: [[1,2,3],[1,3,2],[2,1,3],[2,3,1],[3,1,2],[3,2,1]]Example 2:Input: nums = [0,1]Output: [[0,1],[1,0]]Example 3:Input: nums = [1]Output: [[1]] Constraints:1 -10 All the integers of nums are unique.뭔가 기본적인 컨셉의 문제인데, 이게 또 한 번쯤은 집고 넘어가줘야 찝찝한게 없다..

Coding_Practice 2025.02.10

Maximum Employees to Be Invited to a Meeting(Depth-First Search,Graph,Topological Sort)

https://leetcode.com/problems/maximum-employees-to-be-invited-to-a-meeting/description/?envType=daily-question&envId=2025-01-26A company is organizing a meeting and has a list of n employees, waiting to be invited. They have arranged for a large circular table, capable of seating any number of employees.The employees are numbered from 0 to n - 1. Each employee has a favorite person and they will..

Coding_Practice 2025.01.26