https://leetcode.com/problems/reverse-linked-list-ii/description/
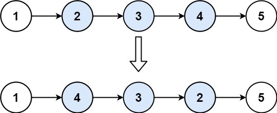
Given the head of a singly linked list and two integers left and right where left <= right, reverse the nodes of the list from position left to position right, and return the reversed list.
Example 1:

Input: head = [1,2,3,4,5], left = 2, right = 4
Output: [1,4,3,2,5]
Example 2:
Input: head = [5], left = 1, right = 1
Output: [5]
Constraints:
- The number of nodes in the list is n.
- 1 <= n <= 500
- -500 <= Node.val <= 500
- 1 <= left <= right <= n
Follow up: Could you do it in one pass?
다시 돌아온 Daily Coding!
한 번 해보자!
1. Python
문제 이해를 잘 못 해서 틀렸다.
left~right 까지 reverse인데 , left / right swap으로 잘못 이해함 ㅠㅠ
# Definition for singly-linked list.
# class ListNode:
# def __init__(self, val=0, next=None):
# self.val = val
# self.next = next
class Solution:
def reverseBetween(self, head: Optional[ListNode], left: int, right: int) -> Optional[ListNode]:
if not head or left==right : return head
dummy = ListNode(0,head)
prev = dummy
idx = 1
curr = head
while idx < left :
prev = curr
curr = curr.next
idx+=1
temp_l = curr
prev2 = None
while idx <= right :
temp = curr.next
curr.next = prev2
prev2 = curr
curr = temp
idx += 1
prev.next = prev2
temp_l.next = curr
return dummy.next
Linkedlist는 C로도 풀 수 있어야 한다.
/**
* Definition for singly-linked list.
* struct ListNode {
* int val;
* struct ListNode *next;
* };
*/
struct ListNode* reverseBetween(struct ListNode* head, int left, int right) {
if(!head || left==right) return head;
struct ListNode* dummy = (struct ListNode*)malloc(sizeof(struct ListNode));
dummy->next = head;
struct ListNode* temp_left = head;
struct ListNode* prev = dummy;
int idx = 1;
while(idx<left){
prev = temp_left;
temp_left = temp_left -> next;
idx++;
}
struct ListNode* curr = temp_left;
struct ListNode* prev2 = NULL;
while(idx<=right){
struct ListNode* nxt = curr->next;
curr->next = prev2;
prev2 = curr;
curr = nxt;
idx++;
}
temp_left -> next = curr;
prev->next = prev2;
return dummy->next;
}'Coding_Practice' 카테고리의 다른 글
| Subsets(Array,Backtracking,Bit Manipulation) (0) | 2025.02.11 |
|---|---|
| Permutations(Array,Backtracking) (0) | 2025.02.10 |
| Swapping Nodes in a Linked List(Linked List,Two Pointers) (1) | 2025.02.05 |
| Maximum Employees to Be Invited to a Meeting(Depth-First Search,Graph,Topological Sort) (0) | 2025.01.26 |
| Make Lexicographically Smallest Array by Swapping Elements(Array,Union Find,Sorting) (0) | 2025.01.25 |