https://leetcode.com/problems/convert-sorted-list-to-binary-search-tree/description/
Given the head of a singly linked list where elements are sorted in ascending order, convert it to a
binary search tree.
Example 1:

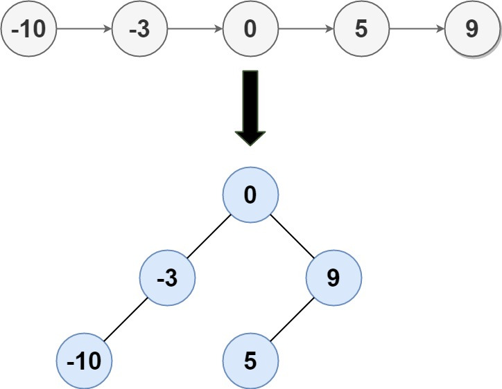
Input: head = [-10,-3,0,5,9]
Output: [0,-3,9,-10,null,5]
Explanation: One possible answer is [0,-3,9,-10,null,5], which represents the shown height balanced BST.
Example 2:
Input: head = []
Output: []
Constraints:
- The number of nodes in head is in the range [0, 2 * 104].
- -105 <= Node.val <= 105
거두 절미하고 문제를 풀어보자
간단해 보이는데 어렵다.. GG
1. Python
풀이를 봐도 헛갈린다. Recursive를 이용한 풀이
# Definition for singly-linked list.
# class ListNode:
# def __init__(self, val=0, next=None):
# self.val = val
# self.next = next
# Definition for a binary tree node.
# class TreeNode:
# def __init__(self, val=0, left=None, right=None):
# self.val = val
# self.left = left
# self.right = right
class Solution:
def sortedListToBST(self, head: Optional[ListNode]) -> Optional[TreeNode]:
def buildBST(nums:list, start:int,end:int):
if start > end:
return None
mid = (start + end) // 2
return TreeNode(nums[mid], buildBST(nums, start, mid - 1), buildBST(nums, mid + 1, end))
nums = []
while head:
nums.append(head.val)
head = head.next
return buildBST(nums, 0, len(nums) - 1)
좀 더 직관적인 코드다
# Definition for singly-linked list.
# class ListNode:
# def __init__(self, val=0, next=None):
# self.val = val
# self.next = next
# Definition for a binary tree node.
# class TreeNode:
# def __init__(self, val=0, left=None, right=None):
# self.val = val
# self.left = left
# self.right = right
class Solution:
def sortedListToBST(self, head: Optional[ListNode]) -> Optional[TreeNode]:
# edge case
if not head :
return None
if not head.next:
return TreeNode(head.val)
slow = head
fast = head
prev = None
# Middle Point 찾기 = slow
while fast and fast.next:
prev = slow
slow = slow.next
fast = fast.next.next
# Create the root node with middle point
root = TreeNode(slow.val)
# Disconnect the left part of the list
if prev:
prev.next = None
#Recursively build left / right sub-tree
root.left = self.sortedListToBST(head) # left sub-tree
root.right = self.sortedListToBST(slow.next) # right sub-tree
return root
2. C
/**
* Definition for singly-linked list.
* struct ListNode {
* int val;
* struct ListNode *next;
* };
*/
/**
* Definition for a binary tree node.
* struct TreeNode {
* int val;
* struct TreeNode *left;
* struct TreeNode *right;
* };
*/
struct TreeNode* helper(int arr[],int left, int right){
if(left > right) return NULL;
int mid = (left+right)/2;
struct TreeNode* root = (struct TreeNode*)malloc(sizeof(struct TreeNode));
root->val = arr[mid];
root->left = helper(arr,left,mid-1);
root->right = helper(arr,mid+1,right);
return root;
}
struct TreeNode* sortedListToBST(struct ListNode* head) {
if(!head) return NULL;
if(!head->next){
struct TreeNode* temp = (struct TreeNode*)malloc(sizeof(struct TreeNode));
temp->val = head->val;
temp->left = NULL; // C 에선 이런 초기화 필요
temp->right = NULL;
return temp;
}
int arr[100000];
int idx = 0;
while(head){
arr[idx++] = head->val;
head = head->next;
}
return helper(arr,0,idx-1);
}
Array를 만들어서 list 값을 다 넣고,
그 이후에 array를 돌면서 binary search 기법을 이용한다..
'Coding_Practice' 카테고리의 다른 글
| Google Colab에 Google Drive 연결하기 (0) | 2025.04.09 |
|---|---|
| Smallest Positive Integer (0) | 2025.02.24 |
| Subtree of Another Tree() (0) | 2025.02.13 |
| Combination Sum(Array,Backtracking) (0) | 2025.02.12 |
| Subsets(Array,Backtracking,Bit Manipulation) (0) | 2025.02.11 |