Eat Study Love

먹고 공부하고 사랑하라

Python 198

Guess Number Higher or Lower II[Math,Dynamic Programming,Game Theory]

https://leetcode.com/problems/guess-number-higher-or-lower-ii/description/We are playing the Guessing Game. The game will work as follows:I pick a number between 1 and n.You guess a number.If you guess the right number, you win the game.If you guess the wrong number, then I will tell you whether the number I picked is higher or lower, and you will continue guessing.Every time you guess a wrong n..

Coding_Practice 2024.11.05

Trapping Rain Water[자주 나오는 물 채우기 DP문제][Array,Two Pointers,Dynamic Programming,Stack,Monotonic Stack]

https://leetcode.com/problems/trapping-rain-water/description/Given n non-negative integers representing an elevation map where the width of each bar is 1, compute how much water it can trap after raining. Example 1:Input: height = [0,1,0,2,1,0,1,3,2,1,2,1]Output: 6Explanation: The above elevation map (black section) is represented by array [0,1,0,2,1,0,1,3,2,1,2,1]. In this case, 6 units of rai..

Coding_Practice 2024.11.04

Binary Grid Question[Loop & Graph]

list of list[int] 의 data type을 받아서 가장 긴 connected 1's length를 반환하는 함수를 만들어야 한다. Matrix 는 2차원이다보니까 m*n Matrix를 생각하면 되고, 주어진 2차원 Matrix에서 어떤 것을 0에서 1로 바꿀 지 잘 고민해야하고 x, y축 index 헷갈리지 않게 주의해야 한다. 이거때문에 index overflow로 애좀 먹음.. 꿀팁은 python deque만 있으면 queue / stack 다 구현할 수 있다는 것이고, python의 경우 if 문에서 0  그리고 맨 처음 언급했듯이, x / y축 len과 idx following을 잘 해야 한다. 이런 종류의 문제는 무작정 coding에 들어가지 말고, 머릿속으로 또는 빈 종이에 구조를..

Coding_Practice 2024.11.04

Find Minimum in Rotated Sorted Array2[Array,Binary Search]

https://leetcode.com/problems/find-minimum-in-rotated-sorted-array-ii/description/Suppose an array of length n sorted in ascending order is rotated between 1 and n times. For example, the array nums = [0,1,4,4,5,6,7] might become:[4,5,6,7,0,1,4] if it was rotated 4 times.[0,1,4,4,5,6,7] if it was rotated 7 times.Notice that rotating an array [a[0], a[1], a[2], ..., a[n-1]] 1 time results in the ..

Coding_Practice 2024.10.31

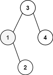
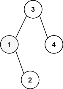
Kth Smallest Element in a BST[Tree,Depth-First Search,Binary Search Tree,Binary Tree]

https://leetcode.com/problems/kth-smallest-element-in-a-bst/description/Given the root of a binary search tree, and an integer k, return the kth smallest value (1-indexed) of all the values of the nodes in the tree. Example 1:Input: root = [3,1,4,null,2], k = 1Output: 1Example 2:Input: root = [5,3,6,2,4,null,null,1], k = 3Output: 3 Constraints:The number of nodes in the tree is n.1 0 Follow up: ..

Coding_Practice 2024.10.30

MaxProfit(Given a log of stock prices compute the maximum possible earning)

https://app.codility.com/programmers/lessons/9-maximum_slice_problem/max_profit/ MaxProfit coding task - Learn to Code - CodilityGiven a log of stock prices compute the maximum possible earning.app.codility.comAn array A consisting of N integers is given. It contains daily prices of a stock share for a period of N consecutive days. If a single share was bought on day P and sold on day Q, where 0..

Coding_Practice 2024.10.30