There is a bi-directional graph with n vertices, where each vertex is labeled from 0 to n - 1 (inclusive). The edges in the graph are represented as a 2D integer array edges, where each edges[i] = [ui, vi] denotes a bi-directional edge between vertex ui and vertex vi. Every vertex pair is connected by at most one edge, and no vertex has an edge to itself.
You want to determine if there is a valid path that exists from vertex source to vertex destination.
Given edges and the integers n, source, and destination, return true if there is a valid path from source to destination, or false otherwise.
Example 1:

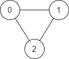
Input: n = 3, edges = [[0,1],[1,2],[2,0]], source = 0, destination = 2
Output: true
Explanation: There are two paths from vertex 0 to vertex 2:
- 0 → 1 → 2
- 0 → 2
Example 2:

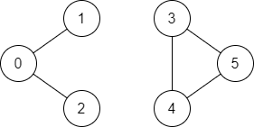
Input: n = 6, edges = [[0,1],[0,2],[3,5],[5,4],[4,3]], source = 0, destination = 5
Output: false
Explanation: There is no path from vertex 0 to vertex 5.
Constraints:
- 1 <= n <= 2 * 105
- 0 <= edges.length <= 2 * 105
- edges[i].length == 2
- 0 <= ui, vi <= n - 1
- ui != vi
- 0 <= source, destination <= n - 1
- There are no duplicate edges.
- There are no self edges.
Graph에서 Node를 Traversal하는 문제이다. 함 풀어보자.
좀 어려운 거 같은디..
1. Python
진한 recursive의 향기가 나서 해봤더만..
Time limit이 걸렸다.
아나 n을 30000으로 하면 우짜노 ㅠㅠㅠ
class Solution:
def validPath(self, n: int, edges: List[List[int]], source: int, destination: int) -> bool:
# feel like recursive..
# find the source # make visited list with source node # check if destination node is in it
visited = []
def helper(node, edges):
if node in visited : return
visited.append(node)
for edge in edges:
if node in edge:
if edge[0] == node:
helper(edge[1],edges)
else : helper(edge[0],edges)
helper(source,edges)
if destination in visited:return True
else : return False
일반적인 test case는 통과한다..
dict를 이용한 adjacent list를 만들라...!
class Solution:
def validPath(self, n: int, edges: List[List[int]], source: int, destination: int) -> bool:
# make adjacent list
g = {i:[] for i in range(n)} #dictionary
for u,v in edges:
g[u] += [v]
g[v] += [u]
visited = set()
# Recursive
def helper(node):
if node == destination: return True # 아..함수 안에 사용하면 바깥 함수 varialbe 사용가능하네
visited.add(node)
for neighbor in g[node]:
if neighbor not in visited:
if helper(neighbor):
return True
return False
return helper(source)
2. C++
C++로도 한 번 풀어보자
이것은 queue로 고
class Solution {
public:
bool validPath(int n, vector<vector<int>>& edges, int source, int destination) {
unordered_map<int,vector<int>> graph;
for(auto vec : edges){
graph[vec[0]].push_back(vec[1]);
graph[vec[1]].push_back(vec[0]);
}
queue<int> q;
unordered_set<int> visited;
q.push(source);
visited.insert(source);
while(!q.empty()){
int node = q.front();
q.pop();
if(node == destination) return true;
for(int x : graph[node]){
if(visited.find(x) == visited.end()){
visited.insert(x);
q.push(x);}
}
}
return false;
}
};
Recursive하게 풀거나 , while + queue 또는 while + stack 으로 문제를 푸는 것이다!
|
'Coding_Practice' 카테고리의 다른 글
| Maximum Depth of N-ary Tree[Tree,Depth-First Search,Breadth-First Search] (1) | 2024.10.29 |
|---|---|
| Is Graph Bipartite?[Depth-First Search,Breadth-First Search,Union Find,Graph] (1) | 2024.10.28 |
| Deque 자료구조 만들어보기 (0) | 2024.10.27 |
| My Calendar II[Array,Binary Search,Design,Segment Tree,Prefix Sum,Ordered Set] (1) | 2024.10.24 |
| TieRopes (0) | 2024.10.24 |