Eat Study Love

먹고 공부하고 사랑하라

Python 198

Number of Good Leaf Nodes Pairs[Tree,Depth-First Search,Binary Tree]

https://leetcode.com/problems/number-of-good-leaf-nodes-pairs/description/You are given the root of a binary tree and an integer distance. A pair of two different leaf nodes of a binary tree is said to be good if the length of the shortest path between them is less than or equal to distance.Return the number of good leaf node pairs in the tree. Example 1:Input: root = [1,2,3,null,4], distance = ..

Coding_Practice 2024.09.09

Delete Nodes From Linked List Present in Array[Array,Hash Table,Linked List]

https://leetcode.com/problems/delete-nodes-from-linked-list-present-in-array/description/You are given an array of integers nums and the head of a linked list. Return the head of the modified linked list after removing all nodes from the linked list that have a value that exists in nums. Example 1:Input: nums = [1,2,3], head = [1,2,3,4,5]Output: [4,5]Explanation:Remove the nodes with values 1, 2..

Coding_Practice 2024.09.09

Binary Tree Postorder Traversal[Stack,Tree,Depth-First Search,Binary Tree]

https://leetcode.com/problems/binary-tree-postorder-traversal/?envType=daily-question&envId=2024-09-04Given the root of a binary tree, return the postorder traversal of its nodes' values. Example 1:Input: root = [1,null,2,3]Output: [3,2,1]Explanation:Example 2:Input: root = [1,2,3,4,5,null,8,null,null,6,7,9]Output: [4,6,7,5,2,9,8,3,1]Explanation:Example 3:Input: root = []Output: []Example 4:Inpu..

Coding_Practice 2024.09.04

Sum of Digits of String After Convert[E,String,Simulation]

https://leetcode.com/problems/sum-of-digits-of-string-after-convert/description/?envType=daily-question&envId=2024-09-03You are given a string s consisting of lowercase English letters, and an integer k.First, convert s into an integer by replacing each letter with its position in the alphabet (i.e., replace 'a' with 1, 'b' with 2, ..., 'z' with 26). Then, transform the integer by replacing it w..

Coding_Practice 2024.09.03

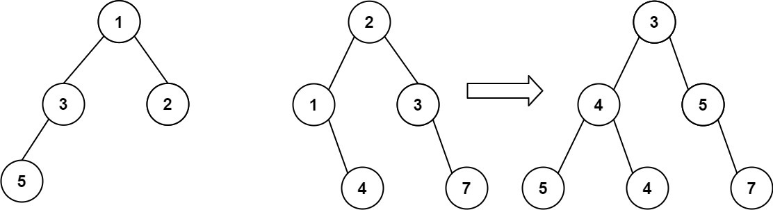
Merge Two Binary Trees[E,TreeDepth-First Search,Breadth-First Search,Binary Tree]

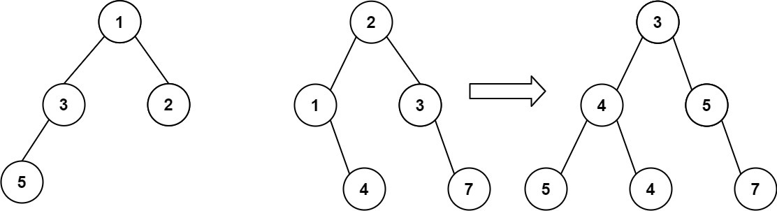
https://leetcode.com/problems/merge-two-binary-trees/description/You are given two binary trees root1 and root2.Imagine that when you put one of them to cover the other, some nodes of the two trees are overlapped while the others are not. You need to merge the two trees into a new binary tree. The merge rule is that if two nodes overlap, then sum node values up as the new value of the merged nod..

Coding_Practice 2024.09.02

Find the Student that Will Replace the Chalk[M,Array,Binary Search,Simulation,Prefix Sum]

https://leetcode.com/problems/find-the-student-that-will-replace-the-chalk/description/?envType=daily-question&envId=2024-09-02There are n students in a class numbered from 0 to n - 1. The teacher will give each student a problem starting with the student number 0, then the student number 1, and so on until the teacher reaches the student number n - 1. After that, the teacher will restart the pr..

Coding_Practice 2024.09.02

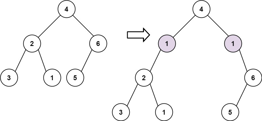
Add One Row to Tree[M,Tree,Depth-First Search,Breadth-First Search,Binary Tree]

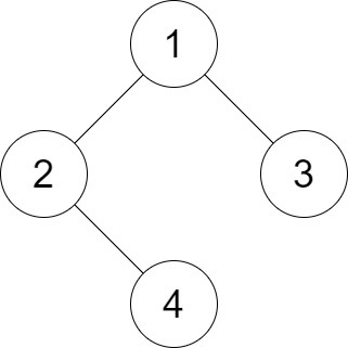
https://leetcode.com/problems/add-one-row-to-tree/?envType=daily-question&envId=2024-08-23Given the root of a binary tree and two integers val and depth, add a row of nodes with value val at the given depth depth.Note that the root node is at depth 1.The adding rule is:Given the integer depth, for each not null tree node cur at the depth depth - 1, create two tree nodes with value val as cur's l..

Coding_Practice 2024.08.23