https://leetcode.com/problems/unique-binary-search-trees/description/
Given an integer n, return the number of structurally unique BST's (binary search trees) which has exactly n nodes of unique values from 1 to n.
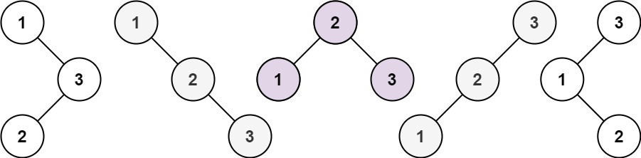
Example 1:

Input: n = 3
Output: 5
Example 2:
Input: n = 1
Output: 1
Constraints:
- 1 <= n <= 19
그래도 가볍게나마 BST문제도 풀어봐야지..!
Linked List , Tree 이런 걸 자꾸만 건들자
근데 이건,, Tree 문제라기보단 수학 문제 같다..
흐
음..
1. Python
일단 애매하게.. 해결하지 못했다.
class Solution:
def numTrees(self, n: int) -> int:
if n == 1 : return 1
ans = 0
idx = n//2
curr = n
if n % 2 == 0 :
while idx >= 1:
curr-=1
idx-=1
ans += self.numTrees(curr)
else:
while idx >= 1:
curr-=1
idx-=1
ans += self.numTrees(curr)
ans += (self.numTrees(curr-1)*self.numTrees(curr-1))
return ans
나름의 논리에는 문제가 없어 보이는데, 어딘가에서 ERROR가 나는지 자꾸 정답이 틀린다.
모범답안은 아래와 같다.
class Solution:
def numTrees(self, n: int) -> int:
# DP 배열 초기화
dp = [0] * (n + 1)
dp[0] = 1 # C_0 = 1
dp[1] = 1 # C_1 = 1
# 점화식 계산
for i in range(2, n + 1):
for j in range(1, i + 1): # 각 i에 대해 C_{i-1} * C_{n-i} 계산
dp[i] += dp[j - 1] * dp[i - j]
return dp[n]

DP로도 풀 수 있다..
이렇게 Python function 안에 function을 선언하는 방법을 잘 참고해야겠다..!
class Solution:
def numTrees(self, n: int) -> int:
# 동적 계획법을 위한 캐싱
memo = {}
def count_trees(k):
# 기저 조건
if k <= 1:
return 1
if k in memo: # 이미 계산된 값이 있으면 반환
return memo[k]
# 카탈란 수 점화식 계산
total = 0
for i in range(1, k + 1):
left_trees = count_trees(i - 1) # 왼쪽 서브트리 경우의 수
right_trees = count_trees(k - i) # 오른쪽 서브트리 경우의 수
total += left_trees * right_trees
memo[k] = total # 결과를 캐시에 저장
return total
return count_trees(n)
대단하다 대단해..!
이거는 구찮으니까 C++로 memoization 한 번 해보는 것으로..!
2. C++
class Solution {
public:
int numTrees(int n) {
map<int,int> m;
return cnt(n,m);
}
int cnt(int k, map<int,int>& m){
if(k<=1) return 1;
if(m.find(k)!=m.end()){ // how to use 'find' method in MAP(C++)
return m[k];
}
int total = 0;
for(int i=1;i<=k;i++){
int left = cnt(i-1,m);
int right = cnt(k-i,m);
total += left*right;
}
m[k] = total;
return total;
}
};'Coding_Practice' 카테고리의 다른 글
| LRU Cache [Final 기출] (Hash Table,Linked List,Design,Doubly-Linked List) (1) | 2025.01.08 |
|---|---|
| Longest Palindrome Substring [Final 기출] (1) | 2025.01.07 |
| Minimum Number of Operations to Move All Balls to Each Box(Array,String,Prefix Sum) (0) | 2025.01.06 |
| Number of Ways to Split Array(Array,Prefix Sum) (1) | 2025.01.03 |
| Count Vowel Strings in Ranges(Array,String,Prefix Sum) (0) | 2025.01.02 |