https://leetcode.com/problems/maximum-width-of-binary-tree/description/
Given the root of a binary tree, return the maximum width of the given tree.
The maximum width of a tree is the maximum width among all levels.
The width of one level is defined as the length between the end-nodes (the leftmost and rightmost non-null nodes), where the null nodes between the end-nodes that would be present in a complete binary tree extending down to that level are also counted into the length calculation.
It is guaranteed that the answer will in the range of a 32-bit signed integer.
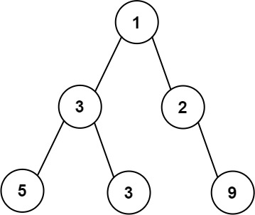
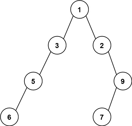
Example 1:

Input: root = [1,3,2,5,3,null,9]
Output: 4
Explanation: The maximum width exists in the third level with length 4 (5,3,null,9).
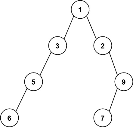
Example 2:

Input: root = [1,3,2,5,null,null,9,6,null,7]
Output: 7
Explanation: The maximum width exists in the fourth level with length 7 (6,null,null,null,null,null,7).
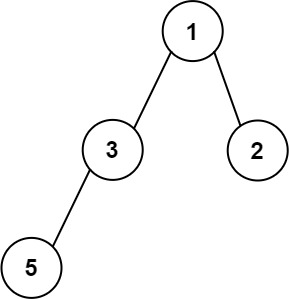
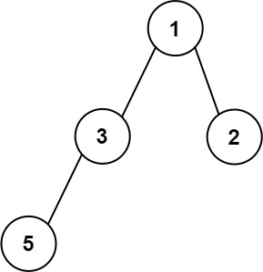
Example 3:

Input: root = [1,3,2,5]
Output: 2
Explanation: The maximum width exists in the second level with length 2 (3,2).
Constraints:
- The number of nodes in the tree is in the range [1, 3000].
- -100 <= Node.val <= 100
감이 안 잡히게 어렵다.
결국 GPT 도움..
골자는 Node마다 index를 부여해서 max width를 tracking 하는 것이고,
Level 마다 BST를 사용하는 건 맞았음.
1. C++
/**
* Definition for a binary tree node.
* struct TreeNode {
* int val;
* TreeNode *left;
* TreeNode *right;
* TreeNode() : val(0), left(nullptr), right(nullptr) {}
* TreeNode(int x) : val(x), left(nullptr), right(nullptr) {}
* TreeNode(int x, TreeNode *left, TreeNode *right) : val(x), left(left), right(right) {}
* };
*/
class Solution {
public:
int widthOfBinaryTree(TreeNode* root) {
if(!root) return 0;
queue<pair<TreeNode*, int>> q;
q.push({root,1});
int maxWidth = 0;
while(!q.empty()){
int lvsize = q.size();
int first = q.front().second;
int last = q.back().second;
maxWidth = max(maxWidth, last-first+1);
for(int i=0; i<lvsize; i++){
TreeNode* node = q.front().first;
int idx = q.front().second;
q.pop();
// Key Point!
if(node->left) q.push({node->left,idx*2});
if(node->right) q.push({node->right,1+idx*2});
}
}
return maxWidth;
}
};
leetcode가 미쳐서 overflow를 방지하라는데,, overflow까지 고려하면 아래와 같다.
int widthOfBinaryTree(TreeNode* root) {
if (root == nullptr) return 0;
queue<pair<TreeNode*, long long>> q; // 노드와 그 인덱스를 저장하는 큐
q.push({root, 1});
int maxWidth = 0;
while (!q.empty()) {
int levelSize = q.size();
long long minIndex = q.front().second;
long long first, last;
for (int i = 0; i < levelSize; i++) {
TreeNode* node = q.front().first;
long long idx = q.front().second - minIndex; // 오버플로우 방지를 위해 인덱스를 재조정
q.pop();
if (i == 0) first = idx;
if (i == levelSize - 1) last = idx;
if (node->left) q.push({node->left, 2 * idx});
if (node->right) q.push({node->right, 2 * idx + 1});
}
maxWidth = max(maxWidth, static_cast<int>(last - first + 1));
}
return maxWidth;
}
2. Python
위 C++과 같은 메커니즘
# Definition for a binary tree node.
# class TreeNode:
# def __init__(self, val=0, left=None, right=None):
# self.val = val
# self.left = left
# self.right = right
class Solution:
def widthOfBinaryTree(self, root: Optional[TreeNode]) -> int:
if not root : return 0
q = deque()
q.append([root,1]) # idx of root is 1
ans = 0
while q :
size = len(q)
first = q[0][1]
last = q[-1][1]
ans = max(ans,last-first+1)
for i in range(size):
curr = q.popleft()
idx = curr[1]
if curr[0].left :
q.append([curr[0].left,idx*2])
if curr[0].right :
q.append([curr[0].right,1+idx*2])
return ans
3.
Queue가 없는 C.. 얘가 난해하다..!
/**
* Definition for a binary tree node.
* struct TreeNode {
* int val;
* struct TreeNode *left;
* struct TreeNode *right;
* };
*/
int widthOfBinaryTree(struct TreeNode* root){
if(!root) return 0;
struct TreeNode* q[10000];
int idx[10000];
int front = 0, rear = 0;
q[rear] = root;
idx[rear++] = 1;
int ans = 0;
while(front < rear){
int lvsize = rear - front;
int first = idx[front];
int last = idx[rear-1];
int w = last - first + 1;
if(w > ans) ans = w;
for(int i=0;i<lvsize;i++){
struct TreeNode* node = q[front];
int idxnum = idx[front++];
if(node->left != NULL){
q[rear] = node->left;
idx[rear++] = 2*idxnum;
}
if(node->right != NULL){
q[rear] = node->right;
idx[rear++] = 1+2*idxnum;
}
}
}
return ans;
}'Coding_Practice' 카테고리의 다른 글
| Fraction Addition and Subtraction[M,Math,String,Simulation] (1) | 2024.08.23 |
|---|---|
| Sqrt(x)[E,Math,Binary Search] (0) | 2024.08.22 |
| Same Tree[E,Tree,Depth-First Search,Breadth-First Search,Binary Tree] (0) | 2024.08.22 |
| Repeated Substring Pattern[E,String,String Matching] (0) | 2024.08.22 |
| Number Complement[E,Bit Manipulation] (0) | 2024.08.22 |